142. Linked List Cycle II
https://leetcode.com/problems/linked-list-cycle-ii/
Given a linked list, return the node where the cycle begins. If there is no cycle, return null
.
To represent a cycle in the given linked list, we use an integer pos
which represents the position (0-indexed) in the linked list where tail connects to. If pos
is -1
, then there is no cycle in the linked list.
Note: Do not modify the linked list.
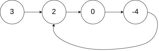
Example 1:
Input: head = [3,2,0,-4], pos = 1
Output: tail connects to node index 1
Explanation: There is a cycle in the linked list, where tail connects to the second node.

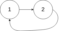
Example 2:
Input: head = [1,2], pos = 0
Output: tail connects to node index 0
Explanation: There is a cycle in the linked list, where tail connects to the first node.

Example 3:
Input: head = [1], pos = -1
Output: no cycle
Explanation: There is no cycle in the linked list.

Follow-up: Can you solve it without using extra space?
Thoughts
linked list里如有环,返回环开始的位置。两个指针从head开始快慢跑,在一个环上跑得快的肯定会在某点追上跑的慢的。假设已经相遇,a: 环之前长度, c: 环长度, s: slow走的步数, k: 环起点后第k步相遇,x: slow跑得环的圈数,y: fast跑得圈数,因此 s=a+xc+k, 2s=a+yc+k, 合并得k = (y-2x)b-a, 即slow还差a步则走的步数刚好又是环长的倍数,也就是说slow里环终点(起点)还差a步,因此让slow和head再走a步它们刚好会相遇。
Code
/**
* Definition for singly-linked list.
* struct ListNode {
* int val;
* ListNode *next;
* ListNode(int x) : val(x), next(NULL) {}
* };
*/
class Solution {
public:
ListNode *detectCycle(ListNode *head) {
auto slow = head, fast = head;
while (fast != nullptr && fast->next != nullptr) {
slow = slow->next;
fast = fast->next->next;
if (slow == fast) {
while (head != slow) {
head = head->next;
slow = slow->next;
}
return head;
}
}
return nullptr;
}
};
/**
* Definition for singly-linked list.
* class ListNode {
* int val;
* ListNode next;
* ListNode(int x) {
* val = x;
* next = null;
* }
* }
*/
public class Solution {
public ListNode detectCycle(ListNode head) {
ListNode slow = head;
ListNode fast = slow;
while (slow != null && fast != null && fast.next != null) {
fast = fast.next.next;
slow = slow.next;
if (slow == fast) {
while (head != slow) {
head = head.next;
slow = slow.next;
}
return slow;
}
}
return null;
}
}
Analysis:
Errors:
终止条件是slow.next == head, 不是slow == head或者head.next == slow
TC: O(n)
我们来分析一下,时间复杂度取决于slow到底走了多少步,即a + xc + k 和总结点数N关系。 主要就是看x是多少。 我们知道x取决去fast什么时候能追上slow. 由于fast先走,等slow进环时fast早已在环中等候了。 那在一个环里slow最多能走多少就被fast追上呢?答案是不到一个环。 我们假设最差的情况,即fast和slow刚好差一个环的位置,那么s_f = s + c, 即2s = s + c, s = c.也就是说在fast和slow在环中起始位置刚好差一个环时,slow最多走一个环就会被追上。 又由于fast和slow实际最多只能差c - 1, 所以x < 1, s < a+2c。整个算法是O(N)级别。
Last updated
Was this helpful?